Pro soustružení jsou důležité řezné podmínky, tj. posuv, hloubka řezu a řezná rychlost.
Značí se s. Je to délka, o kterou se při soustružení posune řezný nástroj vzhledem k
obrobku za jednu jeho otáčku. Udává se v mm za jednu otáčku - mm/ot. Nůž se podle druhu
práce může po obrobku posouvat rovnoběžně, kolmo, nebo oběma způsoby.
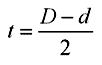
Značí se t. Jedná se tloušťku odřezávané vrstvy z obrobku, kterou nůž odebírá při jednom záběru. Udává se v mm a je dána polovičním rozdílem průměrů obráběné a obrobené plochy.

Značí se f. Je to plocha, která vznikne rozříznutím třísky kolmo k její délce. Tvar průřezu třísky může být různý. Krom předchozích dvou podmínek, mají na tvar třísky vliv tvar ostří nože, poloměr zaoblení jeho špičky a velikost hlavního úhlu nastavení.
Tloušťka třísky a je kolmá vzdálenost bočnách hran průřezu třísky
Šířka třísky b je rovna délce činné části ostří
Šířka a tloušťka třísky je závislá nejen na hloubce a na posuvu, ale i na hlavním úhlu nastavení a na poloměru zaoblení špičky nože
Značí se v. Je to výsledná rychlost hlavního a vedlejšího pohybu, při nichž nůž odřezává z obrobku třísky. Pro hlavní pohyb platí, že čím větší je rychlost pohybu, tím rychleji odřezává nůž z obrobku třísky. Rychlost vedlejšího pohybu je obvykle malá a u výpočtu se tedy zanedbává. Řezná rychlost se vypočte:
